Ak­tu­el­les

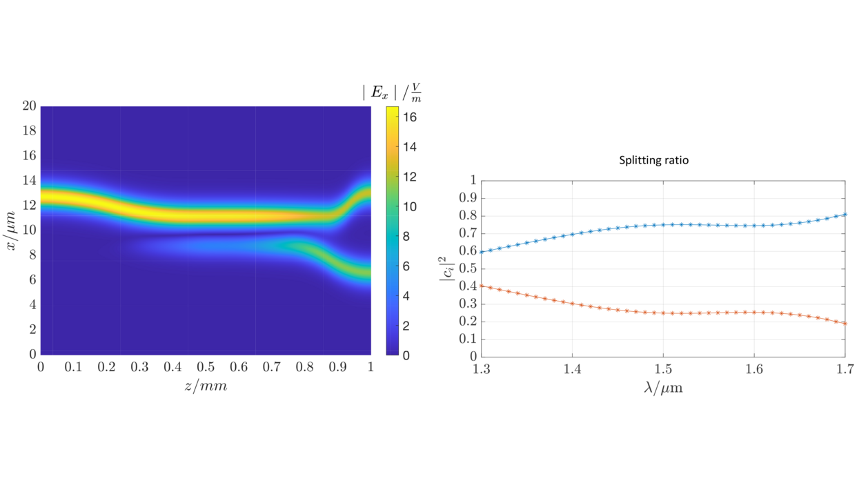
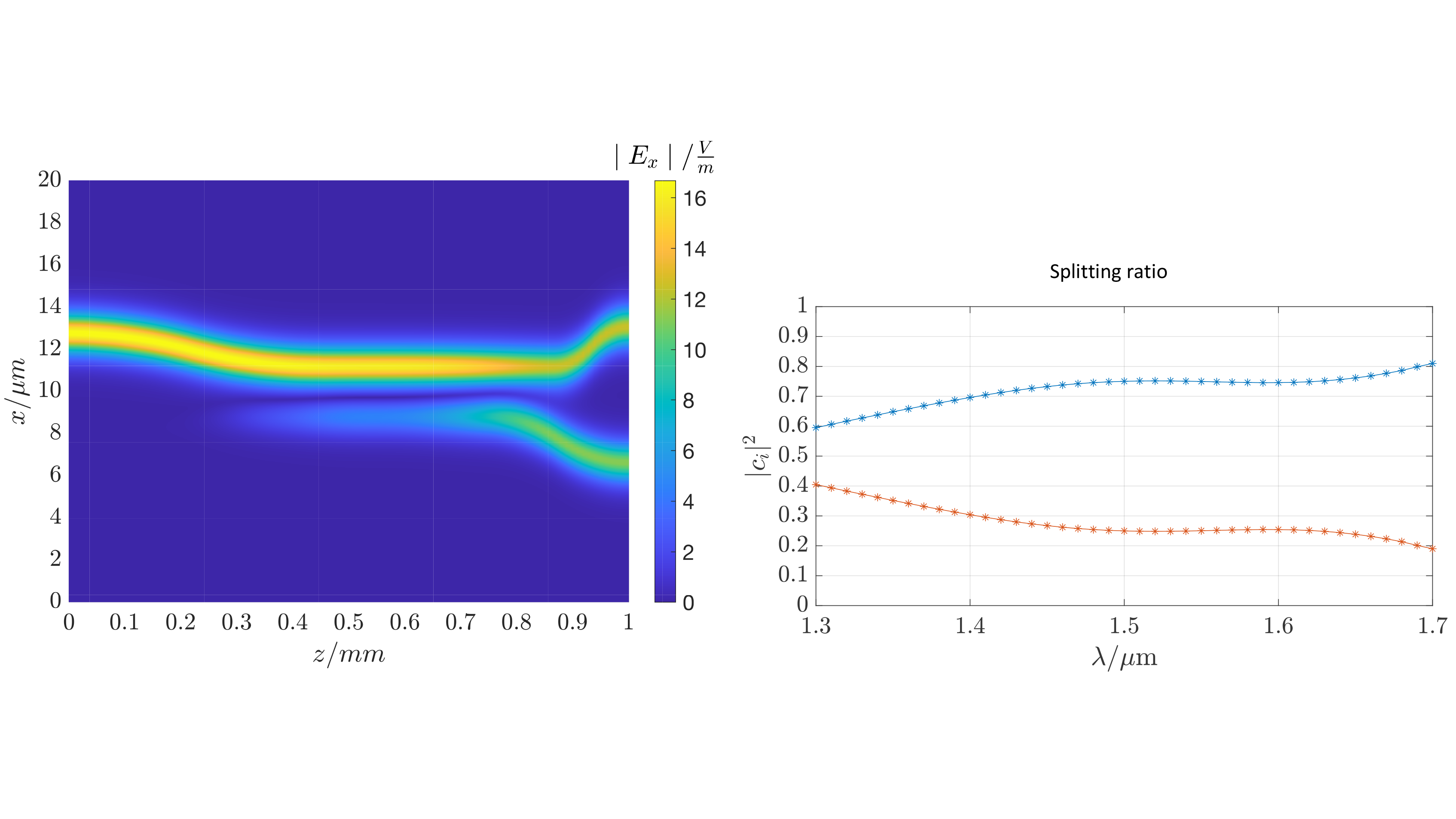
04.06.2020: Pre­sen­ta­ti­on of pro­ject work on Com­pu­ta­ti­on of an adia­ba­tic coupler with the cou­pled mo­de theo­ry

Dear colleagues, dear students,

on Thursday, the 4th of June, the following talk takes place:

Title: Computation of an adiabatic coupler with the coupled mode theory

Lecturer: Dieter Teichrib

Language: English

Time: 11:00 a.m.

Please, use the following link to access the conference: https://open-bbb.uni-paderborn.de/b/die-e7x-gz9.

We welcome everyone to join us!